Jump to content
Co nového? Mé kurzy
Diskuze Sledované příspěvky Žebříčky

Doporučené příspěvky

Odesláno

PetrPavel:
takže si teď můžeš nakoupit konzervy s jídlem a něco do kamen, dát stranou co je pana výběrčího a v klidu dělat do konce roku paper jestli zbytek uhájíš.:)

Na procenta to nemá smysl přepočítávat když je v tom páka.

  • Odpovědí 375
  • Vytvořeno
  • Poslední

Nejaktivnější diskutující

Nejaktivnější diskutující

Publikované obrázky

Odesláno

PetrPavel:
Jestli mohu jednu indiskrétní otázku - jak si celkově stojíš z dlouhodobějšího pohledu (myslím třeba letošní rok nebo nějaké ještě delší období)?

Odesláno

paja1
právě jsem si vylél srdce a zkolabovalo mi připojení, tak nic neodešlo :D
Má se to se mnou tak, že jsem cca 2 nebo 2,5 roku zkoušel intradenně forex a neúspěšně, pak následoval necelý rok intradenní komodity - neúspěšně. Přesněji zrušil jsem několik účtů. Nemám se skutečně čím chlubit. Intradenně mi to prostě nejde. Pak jsem si udělal kurzy na spready a opce. Musím říct, že spready mi šly a účet bych zhodnotil, ne závratně, ale zhodnotil. Bohužel jsem nikdy nevydržel necpat se do intraday a tak jsem zrušil opět účet. Opce jsem backtestoval, ale třeba tolik oblíbený condor byl loni ztrátový a jinak mne to moc nechytlo. U spreadů mě ovšem udivovalo proč mám držet nohu, která je ztrátová a odsud byl už jen kousek objevit tuto rubriku založenou Standamorou a musím říct, že mne sezonní obchody od začátku chytly a dnes jim věnuji většinu pozornosti.
Snad jsem odpověděl dostatečně. Ono to není moc příjemné, trochu se stydím za své neúspěchy, ale snad je správné to tady zveřejnit. Nejsem tedy žádný zázračný sekáč jen jeden z mnoha, který má zájem o tento typ obchodů a věří, že najde tu právě "svou parketu".
P

Odesláno

PetrPavel: To je hodne zajimave co pises. Ja se soustredim jen na Spready a Opce. ID jsem se vzdycky bal. Rikal jsem si, ze nemuzu konkurovat technickemu vybaveni a know-how tem nejlepsim firmam na svete (vezmente jen jake technicke chyby se objevuji v zobrazeni ID dat, kde jsou ty vsechny propocty, kdyz to nemuzu zakalkulovat ...). Ze budu v zasade vzdy je "partner", ktery je bude dotovat. Neveril jsem, ze se da s temito kartami a cernym Petrem na ID vyhrat. Dneska kdyz jsem cetl Janecka (RSJ), kde sam uvadi, ze dlouhodobe spekulant na ID nema vlastne sanci, protoze hraje proti nerovnemu souperi, jsem si rikal, ze to asi nebyl spatny odhad. Urcite se tu objevi ale lide, kteri ID jedou velmi uspesne, ja sam ale nikoho osobne neznam a jejich ucty jsem nevidel.

Spready a Seasonal me naopak prijdou jako vec, kde snad lze uspet, protoze je to svym zpusobem obchodovani, ktere se neda (nebo zatim nepodarilo) prevest na pocitacove obchodovani (proti treba statisticke arbitrazi). Zda se mi, ze za tim porad jeste vidim jednotlivce - cloveka. Nevim jestli je to pravda, jestli to neni jen nejaka utecha - zatim me to na full time nezivi. Nevim jestli to zhodnoceni neni spis "nahoda" a kratkodobe to nemuze take fungovat, protoze to narazi na jasne mantinely. Ono nakonec procentualne zhodnotit o 136% ucet z 5 tis. a 100 tis. je pro me velky rozdil i na Spreadech nebo Seasonals.

Co vy na to ostatni?

Nean

Odesláno

PetrPavel:
Díky za upřímnost.
Jsme na tom podobně. Já obchoduju s přestávkami od roku 2001 a až do letoška vcelku neúspěšně. Většinou poziční obchody a výpisy opcí. Ne že bych účty úplně zrušil, ale obvykle jsem jim pořádně pustil žilou. A jako jsi ty našel seasonals, mně nejvíc vyhovují spready. Zpočátku mi jako tobě trochu vadilo mínus na jedné noze, ale teď už to neřeším, ať je tam třeba -10000, dílčích futures si v podstatě nevšímám, kolikrát ani nevím, jestli jdou futures nahoru nebo dolů. Samozřejmě ziskovost čistých futures může být větší. Mám pozice (třeba sója) kde je opravdu na jedné noze zisk kolem 10000 a kdybych tu druhou nohu nebral, zisk by byl mnohonásobně větší. Bohužel to ztroskotává na tom, že dopředu nevím, která noha bude ta zisková a která ztrátová. Takže obchoduju kompletní spread.

Odesláno

Ahoj,
v první řadě díky PetrPavel za postřehy a analýzy seasonals.

já zkouším spready necelý rok na začátku (po 2 měsících) jsem byl -50% z účtu což mi udělal jen jeden obchod..., pak jsem na účet musel dodat další peníze, abych mohl pokračovat. Od té doby jsem byl o trochu rozumnější a průběžný výsledek je cca + 80% z toho co jsem investoval.

U mě jsou výsledky ve vlnách, naštěstí teď to jde nahoru.

Spready mi vyhovují, ztotožňuji se s tím co píše Pája.


Pěkný večer

Mirek

Odesláno

Nean:
Myslím, že na ID může malý trader vydělávat, i kdyby měl Janeček a další ještě 100x rychlejší počítače a lepší algoritmy. Na grafu tam pořád vidím pohyby nahoru, dolů a kdo se jich umí chytnout, vydělává. Já to neumím, mám problémy s rychlým rozhodováním a nerad končím obchod ve ztrátě. To je pro ID smrtící kombinace. Zkoušel jsem to na demu, výsledky nebyly přesvědčivé. Prostě obchodování, kde je 50% nebo i jen 30% ztrátových obchodů, není pro mě. Z tohoto pohledu jsou spready takřka ideální. Pravděpodobnost je výrazně na naší straně.

Pokud jde o zhodnocení, autoři Finančníku v seriálu o spreadech uvádějí orientačně kolem 100% ročně. To se mi jeví jako dosažitelné a když čtu ostatní příspěvky, asi nejsem sám. Záleží taky na velikosti účtu. Jak píšeš, zhodnocovat o určité procento účet 5K nebo 100K je velký rozdíl - i když teoreticky by to tak být nemělo, prostě by mělo stačit dělat 20x víc obchodů.

Koukám, že jsem nenapsal ani slovo o Seasonals. Snad to nevadí, kdybych to napsal do jiného vlákna, zas by nikdo nevěděl, na co reaguju.

Odesláno

ahoj, testy ještě nemám dokončené, ale posílám jeden obrázek pro povyražení.... Mám totiž na nočním stolku sbírku 'Williamse a jeden z jeho patternů je sledovat úplňky a novy měsíce v grafu (Williams v překladu píše první čtvrt, ale myslí nov), Takže jak by vypadaly úplńky (prázdná kolečka), a novy (plná) v právě skončeném lumber. :)

17254

Odesláno

přikládám sezónu 10.letých dluhopisů T-note. Jde o medvědí trend.
bohužel v TnT je k dispozici pouze období od r.2002. Ve spodní části tabulky je napsáno jak si sezóna vedla dle MRCi.
Předposlední sloupec high ukazuje maximum, kdy došlo ke korekci trendu nad vstup a z něj je vypočítán poslední sloupec s výší SL. Většinou je nula, pokud ne, je uveden kolikátý den se korekce tvořila. Mě z toho vychází:
vstoupit dvěma kontrakty, první kontrakt vystoupit na prvním ziskovém open, SL ve výši 600 posunout na BE až třetí den nebo i dříve, pokud bude vzdálenost dostatečná. Sl=600 je docela vysoké, ale zdá se, že je celkem v bezpečí.
Hodně dobrých obchodů.
P

Odesláno

ještě dodatek, dlužím vám omluvu, mystifikoval jsem vás. Devítiletá historie se týká jen elektronické burzy. Takže to ještě doplním, combined jde až do roku 1982. Takže mám Dú na zítra.
P.

Odesláno

10-leté T-note se vstupem podle FinWin, výstup 1,2,3 na CCI-20
To co jsem psal výše se zatím potvrzuje. Z 29. sledovaných sezón, 7 neukázalo žádný signál. Většinou byl opačný tedy býčí trend a "žádný signál" bylo dobře. Ze zbývajících 22. sezón jen 8x došlo po vstupu ke korekci, která s jedinou výjimkou skončila třetí den po vstupu. Zdá se, že SL = 550 by měl stačit. Nadruhou stranu tento přístup zdaleka nevyužil maximum z trendu, velmi často bral jen malé krátkodobé úseky. Nicméně $1007 na obchod je docela slušné.
přeji úspěšné obchody,
P.

Odesláno

T-note podle %R, přináší lepší výsledky (cca o 2 třetiny) a krásných $1747 na obchod. Zvýšil se nám sice počet obchodů, kdy se trh po vstupu obrátil krátkodobě proti nám, ale SL můžeme snížit na cca 350 USD, což je jistě milé :) P.

17262

Odesláno

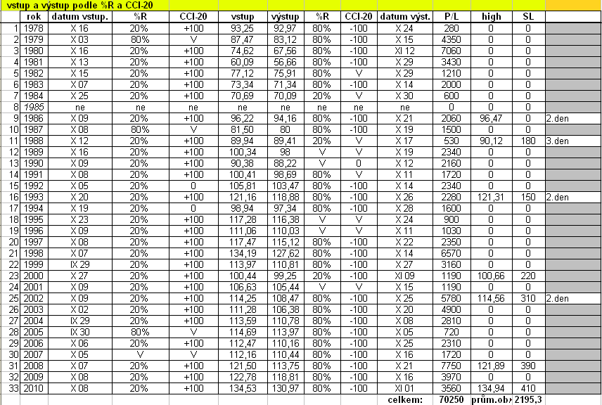
30-leté dluhopisy sice nejsou sezónní dle MRCi, ale jasná sezónnost vyplývá z grafu TnT. Kalendářně je medvědí sezóna od 11. do 19.10. V backtestu jsem jak pro vstup, tak i pro výstup použil williams %R indikátor, který byl filtrován CCI-20. průměrný zisk činí $2195. Zajímavý je stop loss, který vychází do $420. Současně došlo včera k průlomu 20% u williamsova indikátoru a cross 100 u CCI-20. Čekám však na prolomení naznačené trendline, pak možná vstoupím. mnoho dobrých obchodů všem, P

17263

17264


×
×
  • Vytvořit...