Jump to content
Co nového? Mé kurzy
Diskuze Sledované příspěvky Žebříčky

Doporučené příspěvky

Odesláno

Pavel 436:
EMA na 3 min.tf používá téměř každý obchodník, tudíž funguje jako velmi silná SR úroveň, takže bych doporučoval na ni rozhodně brát zřetel.
Tvé obchody z mého pohledu:
č.1. - Nejlepší vstup je rozhodně již na RH č.1 po TR, prorože to bývá nejlepší vstupní bod s poměrně vysokým potencionálem, každý další RH má potencionál již nižší min. o 30%. U S/R úrovně v cestě nevím jak je silná, ale většinou je to pro mne důvod pro rychlé přitáhnutí SL, ne nevstoupit, protože téměř vždy je v cestě nějaká SR úroveň.
č.2 - Do tohoto obchodu bych rozhodně nešel, protože po takovém pohybu je okamžitý zpětný pohyb nepravděpodobný, spíš se dá očekávat návrat k EMA a poté nové otestování Hi CG. Pokud jsi takto vstoupil, bez ohledu na EMA, bylo zbytečné čekat až na SL, protože u EMA se vytvořila formace 1,2,3 low hned po tvém vstupu a na jejím Hi už jsi měl být venku.
Ať se daří (tu)

Odesláno

renco, all:
systém obchodování 2 kontraktů podle J.Rosse má svá úskalí, která tu zmiňuje woodie, tj. jeden SL na 2 kontraktech musí vyvážit mnohem více úspěšných obchodů. Pokud má úspěšně fungovat, vyžaduje opravdu železnou disciplínu, kterou J.Ross zřejmě má, ale u většiny obchodníků se o tom dá dost pochybovat. Hodně jsem o tom přemýšlel, protože J.Ross tvrdí, že jen zcela vyjímečně prodělá na kontrakt více než 50USD a došlo mi to podstatné, jak to může fungovat. Protože obchoduje proražení, očekává, že k tomuto proražení opravdu dojde a že po proražení má trh momentum a dojde k okamžitému pohybu potřebnému k dosažení pokrytí nákladů. Pokud vstoupí do pozice stop příkazem na proražení např.RH a trh v podstatě ihned nedosáhne na 1 cíl(pokrytí nákladů), bude proražení pravděpodobně falešné a musí následovat okamžitý posun na BE celé pozice, případně okamžitý výstup s minimální ztrátou. A to opravdu vyžaduje naprosto železnou disciplínu, protože většina obchodníků by čekala, jestli se trh nakonec opravdu nerozjede, což se v některých případech i občas může stát a je to pak dost frustrující.

Odesláno

k těm 2 kontraktům. V dnešní době nejsou komise USD 30 a výše, takže je asi zbytečné uzavírat 1. kontrakt po pokrytí nákladů. Ale není vůbec špatné nastavit si u 1. kontraktu RRR 1:1 nebo 1:2, tak abych v případě zisku pokryl SL u prvního nebou u obou kontraktů. A druhý kontrakt pak můžu nechat plavat s tím, že svoje už mám jisté.
A navíc u průrazu platí přesně to co napsal Jim36. Pokud se po průrazu trh nepohne aspoň o vzdálenost SL, tak můžu uzavřít (posunout na BE) a počkat si na lepší obchod.

Láďa

Odesláno

Zdravím dneska jsem ráno řešil vstup....před 9 hodinou jsem si našel 123H. ale nakonec jsem ho neobchodoval ..což byla škoda...ale nemám to zatím otestováno ....řešíte někdo tyto formace před 9 ??? H první úsečky open jsem nebral jako 1 vrchol. pokud ano tak by vstup byl stejný. jak se na to koukáte vy ?? Liliputek

12355

Odesláno

tak obchod na druhou stranu :) brzký vstup na podle tf1min. posun na BE+1 po 6b. v plánu mám že při obchodování 2kontaktů první PT 5b. (vychází mě nejlíp) druhý PT posouvaný SL. Takhle BE+1 :) hlavně že né SL :) Liliputek PS: bez posouvaného SL bych v obchodu zůstal a dosáhl bych PT 15b. co se dá dělat,hlava je klidnější s posunem.

12356

Odesláno

Připojuji také svoje obchody na dnešním trhu YM. 1. obchod Short 15:33 SL -20 USD (4 ticky) downtrend, který jsem očekával se nakonec vyplnil, jen korekce byla větší než nastavený SL 2. obchod Short 15:53 PT +85 USD (17 ticku) vstup do downtrendu na základě formace Rh break (po Trading Range) do směru trendu na 1 min grafu v 16:30 se začala tvořit Trading Range a již nebyla příležitost k obchodování Pavel Jinak JiM, gratuluji k peknymu obchodu

12379

Odesláno

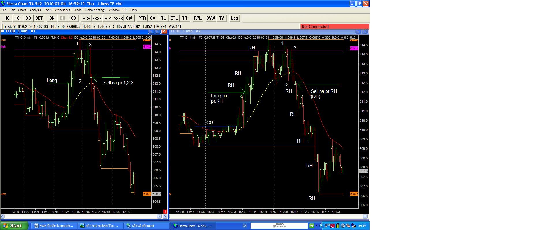
Pavel 436:
Díky. Tvé vstupy byly také v pořádku, ale ideální vstup na proražení 1 Rh po TR v cca 15:45 jsi vynechal. Pokud obchoduješ v podstatě 1 proražení TR jako v případě tvého obchodu č.1., musíš počítat s větším SL a zpětným pohybem do TR, protože tam jde většinou o hon na stopy umístěné pod H/L TR. Pokud zobchoduješ 2 proražení TR, případně proražení 1 Rh po TR, tam již můžeš použít těsnější SL, protože trh již překonal tyto nahromaděné stopy a zvolil svůj směr a pokud by se vrátil příliš zpět, je něco špatně a je lepší být z obchodu včas pryč.
Jak jsem psal již dříve, 1 Rh po TR má největší potenciál, každý další Rh(korekce v trendu) má potenciál nižší již min. o 30%. Když se podíváš na grafy za delší časové období, zjistíš, že většina trendů má za dobu trvání průměrně cca 3-4 korekce a poté přejde do CG, případně dojde k obratu.
Ať se daří. (tu)

Odesláno

Posílám dnešní obchody. Vše jsem zapsal do grafu. Posílám jen první dva, které se povedli, pak jsem chytil ještě jeden SL. S tím se chlubit nebudu, byla to moje blbost. Ale SL jsem přijmul v pohodě, beru ho jako ponaučení. Vstoupil jsem do obchodu v momentě kdy už trh byl v pohybu a já zapoměl vstoupit, tak jsem vstoupil, protože jsem chtěl trh "dohonit". Porušil jsem svoje pravidlo obchodování "Když mineš pattern a nevstoupíš včas, tak už trh nehoň a nevstupuj. Počkej si na další vstupní signál" Pavel

12386

Odesláno

AND1:

ten opomenutý vstup bych asi osobně neobchodoval jako 1-2-3 Low Break vrcholu 2. Osobně mám radši když je formace 1-2-3 taková souměrnější. Ve tvém případě je velký prostor mezi 1 a 2 a naopak malá korekce mezi 2 a 3.
Já bych to viděl jako, že cena opustila Congestion utvořené na Low dne a pak se v uptrendu vytvořil Rh.

Berto jako můj názor, rozumím, že to každý může vidět jinak ;-)

Pavel

×
×
  • Vytvořit...